Return to Contents Chapter 2: Alkanes Ch 2 contents
Questions
 
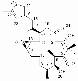
Qu : The structure of EPOTHILONE A, a compound with anticancer activity similar to Taxol is shown to the right.

(a) What is the hybridisation of the following C atoms in Epothilone A ?
 

C1 C8 C12 C14 C17 C19

(b) Arrange the following bonds in Epothilone A in order of decreasing length: 

C14-C15       C15-C17         C17-C18
(c) What type of bonding MOLECULAR orbitals are involved in the bonds between  C3-C4 and  C17-C18 ?

(d) What are the oxidation states of the following C atoms in Epothilone A ?
 

C1 C8 C12 C14 C17 C19

(e) Identify any C-C σ bonds in Epithilone A that are not between a pair of sp3 hybridised C atoms.
 

Epothilone A

Answers ?


organic chemistry © Dr. Ian Hunt, Department of Chemistry University of Calgary